QRS: Epsilon Wrangling (photo)

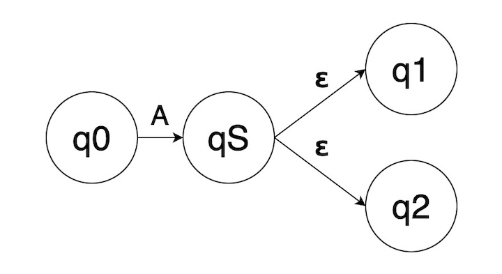
Transferring to two destinations using ε-transitions

Transferring to two destinations using ε-transitions.