QRS: Epsilon Wrangling (photo)

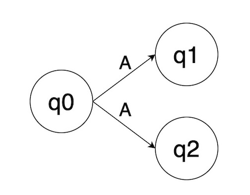
An NFA transferring to two different states on an input symbol

An NFA transferring to two different states on an input symbol.